Ali cepivo Pfizer povečuje tveganje za okužbo in smrt zaradi COVID-19?
Objavljeno 16.1.2021 ob 19:12 - Posodobljeno 17.1.2021 ob 08:48
Avtor(ji): dr. Gerard Delepine za FranceSoir
https://efvv.eu/news/does-the-pfizer-vaccine-increase-the-risk-of-contamination-and-death-from-covid19
Po podatkih Svetovne zdravstvene organizacije lahko vzbuja strah nedavni razvoj epidemije v državah, kjer je trenutno precepljenost najvišja.
Razvoj dogodkov v Izraelu od začetka cepljenja
Mediji poveličujejo Izrael, ki je na prvem mestu v antikovidnem boju s cepivom Pfizer [1]. Odlična priložnost za Pfizer, ki je za to prednostno nalogo pri Izraelu dosegel 40-odstotno zvišanje cene. Od 20. decembra je bilo v 24 dneh cepljenih več kot 20% Izraelcev (dva milijona ljudi).
Toda od tega datuma se je po podatkih SZO dnevno število okužb in smrtnih primerov, pripisanih Covidu19, neverjetno povečalo. Dnevno število okužb je naraslo s 1886 primerov dne 21. decembra na 8094 10. januarja.
Ali cepljenje pospeši okužbo s SARS CoV-2?
V Izraelu se je cepljenje začelo 20. decembra, sledilo pa je 400-odstotno povečanje okužb

Dnevna smrtnost je od 20. decembra do 10. januarja narasla z 18 na 53 primerov.
Ali cepljenje povečuje smrtnost pri Covidu19?
V Izraelu se je cepljenje z mRNA Pfizer cepivom začelo 20. decembra, sledilo pa je 300-odstotno povečanje umrljivosti zaradi COVID-19
Ti podatki so vlado pripeljali do podaljšanja tretje zapore države za nedoločen čas.

Razvoj v Veliki Britaniji od začetka cepljenja
Velika Britanija je druga država v cepilni tekmi, ki je 4. decembra 2020 začela s cepivom, ki sta ga razvila Pfizer in BioNTech. Od tega datuma se je število dnevnih okužb izjemno povečalo, in sicer s 14.898 na 68.063 v času od 4. decembra do 9. januarja 2021.
Ali cepljenje pospešuje okužbo COVID-19?

*
*
V Veliki Britaniji se je cepljenje z mRNA Pfizer cepivom začelo 4. decembra 2020, sledilo pa je 300-odstotno povečanje okužb.
Žal je tudi smrtnost zaradi Covid-19, ki je po skoraj 300-odstotnem povečanju (s 414 na 1564 primerov med 4. decembrom in 14. januarjem) presegla 27%, kot je bilo zaznano marca-aprila 2020 (najvišja vrednost je bila dosežena 22. aprila 2020 s 1224 primeri).
V Veliki Britaniji se je cepljenje začelo 4. decembra 2020, sledilo pa je znatno povečanje dnevne umrljivosti, ki zdaj presega tisto v marcu-aprilu 2020.

Ta znatna in sočasna povečanja dnevnih primerov okužbe in smrti po cepljenju so zelo zaskrbljujoča in potrjujejo, da so bila dovoljenja za promet s cepivi preuranjena.
*

*
Razvoj v Franciji, kjer v tem obdobju ni bilo cepljenja
V Franciji sta tako število novih primerov kot tudi število dnevnih smrti v tem obdobju ostala stabilna in na precej nižji ravni (na milijon) kot v državah, ki so v cepljenju prednjačile.
V manj cepljeni Franciji umrljivost počasi pada od sredine novembra

68,419 deaths
Zato nas prizadenejo vedno večje razlike v epidemiji Covid-19 med državami, ki so prve v cepljenju, in Francijo, v kateri cepljenje poteka počasneje.
Ob znatnejšem cepljenju s cepivom Pfizer se je število kontaminacij in dnevnih smrtnih primerov močno povečalo v Izraelu in Veliki Britaniji, medtem ko se med Francozi epidemija počasi umirja.
Ta pohvala počasnosti je opomnik, da ni varnih zdravil ali cepiv in da lahko paradoksalno povečajo resnost bolezni, proti kateri naj bi se borila.
To so opazili pri domnevno protirakavih cepivih (cepiva proti hepatitisu B, ki naj bi preprečevala jetrni rak [2], in cepivu proti papiloma virusu, ki naj bi delovalo proti raku materničnega vratu [3], v zadnjem času pa tudi ob škandalu v zvezi s cepivom proti mrzlici dengi na Filipinih, ki je povzročilo več sto smrtnih žrtev in vrsto sodnih postopkov).
Lekcije ob katastrofi s cepivom Dengvaxia niso nikomur pomagale in ogrožajo žrtve trenutne nore propagande, torej tiste, ki se cepijo proti Covid-19.
Niti za niti proti cepivu, ampak trenutno odločno proti posploševanju preslabo ocenjenega cepiva
V nasprotju s tem, kar trdijo šaljivci, povezani s farmacevtsko industrijo, nisem proti cepljenju. Sem za cepivo, ko je to učinkovito, varno in preprečuje resne bolezni. Sem proti cepivu, kadar je nepotrebno, tako kot pri boleznih, ki se prenašajo samo z vodo (otroška paraliza, tifus, kolera) v državah z javno higieno, ki razpolagajo s pitno vodo in imajo delujoče sisteme za zbiranje in čiščenje odpadnih voda. Sem proti cepivu, če ni bilo pravilno preučeno in ocenjeno, kot sta cepivo proti dengi (ki je na Filipinih povzročilo na stotine smrtnih žrtev) in cepivo Gardasil (ki paradoksalno povečuje tveganje za raka materničnega vratu).
Navedba kakršnega koli zdravljenja ali cepiva mora temeljiti na oceni razmerja med koristjo in tveganjem.
Od cepljenja mlajših od 65 let proti COVID-19 ni mogoče pričakovati nobene individualne koristi, saj je bolezen pri njih blažja kot gripa; ta populacija se torej od protikovidnih cepiv ne more nadejati ničesar, razen zapletov.
Družbeni argument: "Cepimo se, da zaščitimo druge" je prav tako nepomemben, saj še zdaleč ni dokazano, da lahko cepivo prepreči ali upočasni prenos virusa.
V sedanjem stanju znanja cepljenje starejših z dejavniki tveganja (populacija, kjer bi lahko bilo koristno učinkovito in varno cepivo) ni bilo pravilno ocenjeno, ker poskusi niso vključevali te populacije.
Previdnostno načelo torej upravičuje, da starejših sistematično ne cepimo, če ni zadostnega števila preglednih podatkov, ki potrjujejo učinkovitost in odsotnost toksičnosti v realni populaciji.
Norveško opozorilo
Norveška je pravkar objavila opozorilo z dne 15. januar 2021 po zabeleženih 23 smrtnih primerih, povezanih s cepivom Pfizer [4] [5], med starejšimi v domovih za ostarele. Od teh smrtnih primerov je bilo 13 obduciranih, rezultati pa kažejo, da bi pogosti neželeni učinki lahko prispevali k resnim reakcijam pri šibkih starejših ljudeh. Po mnenju norveškega inštituta za javno zdravje: «Za najbolj krhke ljudi imajo lahko tudi razmeroma blagi neželeni učinki resne posledice. Za tiste, ki imajo pred seboj tako ali tako zelo kratko življenjsko dobo, so koristi cepiva lahko obrobne ali nepomembne« in Nacionalni inštitut za javno zdravje je spremenil vodnik za cepljenje proti koronavirusu in dodal nove nasvete iz previdnosti glede cepljenja krhkih starejših ljudi.
Peter Doshi (urednik revije British Medical Journal) [6] je že novembra opozoril, "ker so napovedi o zmagi v panogi neprecizne in nepopolne, počakajmo, da dobimo popolne podatke iz poskusov” in spomnil je tudi, da poskusi niso preučevali edinega ustreznega merila, preprečevanja smrtnosti [7], temveč le število primerov, ki temeljijo na pogosto lažnih testih: "svet je vse stavil na cepiva, ki bi prinesla rešitev pred pandemijo, vendar poskusi niso osredotočeni na dokazovanje, da bo do tega res prišlo".
Za zaključek je treba čestitati francoski vladi za njeno počasnost pri pospeševanju cepljenja proti COVID-19. Trenutni rezultati mRNA cepiva Pfizer pri izraelskem in britanskem prebivalstvu resnično vzbujajo strah pred zdravstveno katastrofo cepljenja v teh državah, norveški alarm pa zaskrbljenost le še povečuje.
Vnaprej se zahvaljujemo francoskim prostovoljcem za cepljenje: predstavljali bodo morske prašičke v preizkusih faze 3, za kar si proizvajalec pred trženjem cepiva ni vzel časa. Zaradi njih in tveganj, ki jih prevzemajo, bomo čez nekaj mesecev lahko bolje razumeli prednosti in slabosti cepljenja populacije.
[1] Frédéric Métézeau: Izrael, vzorčna država za cepljenje, vendar še vedno v karanteni, Francija info, 14.1.2021
[2] Na Zahodu je cepljenju proti hepatitisu B sledilo povečanje incidence raka na jetrih za 2-4
[3] Cepivom proti HPV je v najbolj cepljenih starostnih skupinah sledilo 30-200% povečanje incidence invazivnega raka
[4] Norveška je sprožila alarm po ugotovitvi 23 smrtnih primerov, povezanih s cepivom Pfizer, Businessman 15.1.2021
[5] Norway Warns of Vaccination Risks for Sick Patients Over 80
[6] Peter Doshi: "95-odstotno učinkovitost" cepiv Pfizer in Moderna - bodimo previdni in najprej si oglejte popolne podatke 26. novembra 2020
[7] Peter Doshi associate editor Will covid-19 vaccines save lives ? BMJ 27 10 2020 Current trials aren’t designed to tell us : BMJ 2020 ;371 :m 4037
Auteur(s): Dr Gerard Delepine pour FranceSoir
*
*
*
https://hpv-vaccine-side-effects.com/covid-19-vaccine-side-effects-world-map/?fbclid=IwAR1gDPgm7vSHFsBFY98-o5Vwa0aaptz60miJRkM23IBeCxWTbu-ZwJv8qaE
*

*

*


NURSING HOME NIGHTMARE
NURSING HOME NIGHTMARE
Headlines in the US and UK continue to report dozens of nursing home deaths after receiving their first round of the #Covid19 vaccine. Data out of England shows that elderly care home deaths as much as tripled when the vaccine rolled out in January. Talk about a coincidence.
*
https://thehighwire.com/videos/did-you-catch-covid-19-after-getting-the-vaccine/
*
Milan Iz Hoste
Včeraj ob 09:10 ·
Boleče. Zelo boleče. Predstava v živo. Ves svet je oder. Brez sramu poteka genocid in ljudje še kar gledamo. Ta potujoči cirkus tudi že pri nas trži abonmajske vstopnice v transhumani reality show.
A zakaj to pišem? Preberite učinke. Naši starši, naših otrok dedki in babice bodo prvi na vrsti (so že). Namesto, da bi starejše obravnavali kot modre starešine naše družbe, jih kot potrošniki mečemo na odpad avtohtonih vrst. Takoj za njimi bodo na vrsti gensko spremenjeni otroci.
Prilagam še aktualno sliko iz Izraela spodaj v prvi komentar. Toliko o teorijah zarote in o moči farmafašizma.
Boli, upam, da te zaboli v dno srca in da tega ne bomo dopustili pri nas.
Kje začeti?
Reči je treba kategorični NE lažnemu testiranju!!!! Vsi skupaj, sinhronizirano, naenkrat. Pogumen človek ne zanika strahu, ampak gre in kljub strahu naredi, kar je prav!
Citiram iz priložene raziskave, da ne izgubljate časa.
"Sklepamo, da so cepiva Pfizer za starejše med pettedenskim cepljenjem ubila približno 40-krat več ljudi, kot bi jih pobila sama bolezen, in približno 260-krat več ljudi kot bolezen med mlajšim starostnim razredom. Poudarjamo, da je to namenjeno izdelavi zelenega potnega lista, veljavnega največ 6 mesecev, in spodbujanju prodaje podjetja Pfizer.
Ocenjeno število smrtnih primerov zaradi cepiva je verjetno precej nižje od dejanskih, saj upošteva samo tiste, opredeljene kot smrt zaradi COVID-19 v tem kratkem časovnem obdobju, in ne vključuje AVC in srčnih (in drugih) dogodkov, ki so posledica vnetnih reakcij v na desetine poročil, dokumentiranih na spletnem mestu NAKIM, ki so sama po sebi le vrh ledene gore, si oglejte tukaj.
To ne upošteva dolgoročnih zapletov, opisanih v kazenski ovadbi, vloženi decembra 2020 v Franciji in ki je bila prevedena v angleščino, glej tukaj.
Če pogledamo nazaj, to pojasnjuje, zakaj so se resni primeri COVID-19 povečali, ko se je začelo cepljenje, in zakaj so primeri začeli upadati, ko je bilo cepljenje odprto za mlade, in še naprej upadajo, saj nacionalna kampanja o cepljenju izgublja svoj zagon.
Upamo, da ta pokol ne bo vključeval tistih, mlajših od 13 let, saj imajo ti povečano stopnjo neželenih reakcij, vključno s smrtjo, na cepiva, kot kažejo več desetletni podatki iz poročil VAERS v ZDA.
Povzemamo, da bo pandemijo mogoče napovedati v prihodnjih tednih. Zmanjšanje števila cepljenj in starosti cepljenja bo povzročilo zmanjšanje resnih primerov, predvsem ne zaradi zaščite s cepivom, ampak zato, ker bo zaradi cepiva in drugih neželenih reakcij cepiva umrlo manj ljudi.
To bo začasno, saj se bomo čez nekaj mesecev soočili s srednje- in dolgoročnimi škodljivimi učinki cepljenja kot ADE (od protiteles odvisna izboljšava) in proti cepljenju odporni mutanti, izbrani s cepivi. A to bi se moralo zgoditi po kmalu prihajajočih volitvah in volivci (preživeli) ne bodo imeli več priložnosti izraziti razočaranja na volišču.
Hvala dr. Hervéju Seligmannu za njegovo veliko podporo pri analizi podatkov."
http://www.nakim.org/israel-forums/viewtopic.php?t=270812&fbclid=IwAR0kCO6O8-0aKjUYe1YrUzL9tU8JGkVquB3d2wYK1IW--HMoeIe7VPhNQPU
*
Around the world, medical authorities are seeing a spike in elderly deaths, after covid-19 vaccination. Gibraltar, a nation located at the southern tip of Spain, is suffering from an unexplained surge in elderly deaths. In the second week of January, a subset of the elderly population suddenly started to die off. The new wave of unexplained elderly deaths is occurring at nearly three times the magnitude of covid-19 deaths that were recorded during 2020.
https://www.vaccineinjurynews.com/2021-02-16-elderly-population-suddenly-dying-off-for-unexplained-reasons.html#
*
Pfizer cepivo je ubilo 40x več ljudi kot koronavirus SARS CoV-2
Dr. Hervé Seligmann, član fakultete na univerzi Aix-Marseille v Franciji, je s pomočjo matematične analize pokazal, da je med "cepljenimi in starejšimi od 65 let 0,2% ... umrlo v treh tednih po odmerku cepiva, torej je umrlo približno 200 ljudi med 100.000 cepljenimi. To je več kot 4,91 mrtvi med 100.000 umrlimi zaradi COVID-19 brez cepljenja," je dodal.
https://www.naturalnews.com/2021-03-04-pfizer-coronavirus-vaccine-killed-old-people.html
*
Ethan Huff je dne 4. marca 2021 poročal, da je Pfizer cepivo ubilo 40 krat več starejših ljudi v petih tednih cepljenja, kot koronavirus SARS CoV-2. To je pokazala analiza podatkov izraelskega Ministrstva za zdravje. Dr. Hervé Seligmann iz francoske Univerze Aix-Marseille University je z matematično analizo pokazal, da je umrlo 0,2% cepljenih starejših od 65 let v treh tednih med odmerki cepiva, kar je 200 ljudi med cepljenjimi. To lahko primerjamo z 4,91 mrtvimi zaradi COVID-19 med 100.000 necepljenimi.
Pfizer cepivo pa ubije 260 krat več mlajših ljudi od 65 let, kot bi jih ubil koronavirus SARS CoV-2.
Med petimi tedni cepljenja je umrlo 0,05%, to je 50 ljudi med 100.000 cepljenimi ljudmi, ki so mlajši of 65 let. To lahko primerjamo z 0,19 umrlimi na 100.000 ljudi, ki umrejo zaradi COVID-19, ki so mlaški od 65 let in niso bili cepljeni. Tako se je stopnja smrtnosti v tej starostni skupini za 260 krat med petimi tedni cepljenja glede na naravno stopnjo smrtnosti zaradi COVID-19.
Dr. Seligmann, ki ima tudi diplomo iz biologije iz Hebrew University of Jerusalem, je povedal, da on in njegova ekipa nimajo nasprotja interesov, razen tega, da imajo otroke v Izraelu. Dr. Seligmann in sodelavci pravijo, da so celo te številke podcenjene, ker so upoštevane samo smrti, ki so nastopile v kratkem času po prejemu cepiva in ne vključujejo AVC in zastoje srca ter druge dogodke, ki nastopijo zaradi vnetnih reakcij v daljšem obdobju po prejemu cepiva. Prav tako niso vključeni srednjeročni in dolgoročni zapleti zaradi poškodb z mRNA cepivom Pfizer.
*
https://www.wodarg.com/
Moje današnje pismo podjetju BASG in Inštitutu Paul Ehrlich:
Spoštovani,
V nasprotju z vašim poročilom je poznana velika verjetnost nastanka strdkov kot stranski učinek spike beljakovin. In spike beljakovine naj bi se v telesu tvorile zaradi genskega "cepljenja".
V primeru okužbe s korono so zaradi lokalnega imunskega odziva v zgornjih dihalnih poteh običajno neškodljive. S "cepljenjem" se ta zaščitna ovira obide.
V primeru intramuskularnega cepljenja ciljane celice mRNA ali vektorjev ni mogoče izolirati.
Prav tako ni bila dovolj pojasnjena razširjenost beljakovinskih bodic pri lokalnem (m.deltoideus) izrazu beljakovinskih bodic.
Če boste sedaj na hitro dali na tržišče zdravilo celo s »pričakovanimi hudimi neželenimi učinki« strdkov (glej spodaj), boste verjetno te povezave pri vaših odločitvah upoštevali.
Prosim za informacije, zakaj ste zavzeli stališče, da je to vedenje očitno nepomembno.
PEI je pravkar objavil nadaljnje mehanizme, ki bi lahko pojasnili takšne smrti (Theuerkauf et al.). Izvod tega pisma pošljemo tudi kolegom na Inštitutu Paul Ehrlich. Prosim za potrditev prejema mojega sporočila.
Lep pozdrav,
Dr. Wolfgang Wodarg 10.3. 2021
*
Not only that, but vaccine makers have bundled these new primary ingredients with “inactive” excipients in unprecedented ways — polyethylene glycol (PEG) in the case of the mRNA vaccines and polysorbate 80 in the J&J shot.
PEGs and polysorbates are structurally similar and are also sometimes combined in a PEG-polysorbate 80 mixture that is “substantially the same as that of … pure PEG.” Pre-COVID, both compounds had already been flagged for their ability to cross-react and produce immediate hypersensitivity reactions, a type of “exaggerated or inappropriate” immune response that can include anaphylaxis.
*
Cepljenje proti Pfizerju Covid-19 med popolnoma cepljenimi bolniki s COVID-19 pomnoži smrtnost za 15 krat, domnevno zaradi oslabitve imunskega sistema. Nemška novinarka, Alice Echtermann, je objavila podatke, ki so bili akumulirani od 20. decembra do 10. marca 2021, po njenih navedbah z izraelskega ministrstva za zdravje, o cepljenih in necepljenih bolnikih s COVID-19.
http://www.nakim.org/israel-forums/viewtopic.php?t=270923
*
Nursing Homes in Chicago, Kentucky Report COVID-19 Infections Among Those Vaccinated
Public health officials in Chicago and Kentucky have identified dozens of residents and staffers at skilled nursing facilities who tested positive for COVID-19 more than two weeks after they were fully vaccinated against the virus, according to the Centers for Disease Control and Prevention.
The information came in a pair of CDC Morbidity and Mortality Weekly Reports issued Wednesday.
According to one report, the Chicago Department of Public Health — through routine screening in February — identified one nursing facility resident who became infected more than 14 days after receiving the second dose.
Then more cases came to light.
*
Cepljeni so vir COVID-19 okužb:
Yale Public Health Professor Suggests 60% of New COVID-19 Patients Have Received Vaccine
'Clinicians have been telling me that more than half of the new COVID cases that they’re treating are people who have been vaccinated,' said Dr. Harvey Risch.
An American Professor of Epidemiology at Yale University revealed that the majority of people now coming down with COVID-19 have been vaccinated against the virus.
“Clinicians have been telling me that more than half of the new COVID cases that they’re treating are people who have been vaccinated,” said Dr. Harvey Risch.
A professor at the Yale School of Public Health, Risch appeared on Steve Bannon’s “War Room” program and contrasted the public’s perception of the vaccines’ efficacy with that of the medical establishment.
“I think the American public has been sold on the vaccine by the research that shows that they reduce the infection of mild to moderate symptomatic infection by somewhere between 60-90% depending upon age and vaccine and so on and that is pretty good performance for an individual who wants to take a vaccine to protect himself,” Risch said.
“However, that is not the measure that public health infrastructure, administration, and Dr. Fauci are using to look at the efficacy of the vaccine.”
What the medical establishment is most interested in, Risch believes, is whether or not the vaccines prevent the spread of the infection. As Big Pharma has not provided this information, Risch recommends looking at the data from places where the vaccine has been used.
“For that the best place so far has been the mass rollout in Israel where the Pfizer vaccine was given to more than half the population now,” the epidemiologist said.
“And in Israel, the studies there show that it reduces the spread of the infection by somewhere around 50-60% so that contributes to herd immunity,” he continued.
“But it is not an overnight shutting down of the spread. It is a slow and continuing benefit for society to do that. But it is totally different than each individual’s protection of, say, 90%.”
This should be a wake-up call to people who think the vaccine will “free them up from all restrictions,” he said. This cannot happen because, although they might not get symptoms, the vaccine cuts the actual transmission of the virus only by a half. Risch said clinicians have told him that over half of new coronavirus cases have already had a vaccine.
“They’ve estimated that more than 60% of the new cases that they are treating – COVID cases – have been people who have been vaccinated,” Risch said.
Last summer Dr. Risch caused a stir in medical circles, including his own workplace, when he advocated the use of hydroxychloroquine as a treatment for the coronavirus. On May 27, he published an article in the American Journal of Epidemiology entitled “Early Outpatient Treatment of Symptomatic, High-Risk COVID-19 Patients that Should be Ramped-Up Immediately as Key to the Pandemic Crisis.” In August, he told Fox News host Mark Levin that the evidence was “overwhelming” that hydroxychloroquine reduces risk of hospitalization or death from COVID-19.
*
CDC Admits 5,800 Fully Vaccinated People Became Infected with COVID-19 and 74 Died
In a clear example showing how the CDC and Big Pharma control the corporate media, the CDC today apparently sent out emails to the major corporate media outlets allegedly explaining that about 5,800 fully vaccinated people have still come down with COVID-19 after being fully vaccinated, and 74 people fully vaccinated against COVID-19 have allegedly died from COVID-19.
In typical fashion of how the CDC operates, they attempted to spin these numbers as something positive, by stating how many people have now been “vaccinated” against COVID, and that one’s chance of getting COVID is significantly reduced if you receive the injection.
As I saw this statement start appearing everywhere in social media, I tried to find the source for this alleged CDC information, but all I could find were various corporate media outlets stating that the CDC had told them this directly. Apparently this is not on the CDC website anywhere.
Some examples:
CNN:
The US Centers for Disease Control and Prevention reported that about 5,800 people who have been fully vaccinated against COVID-19 have become infected anyway.Out of those people, 74 died and 396 [7%] required hospitalization. Many were seriously ill, the CDC reported.
It’s the first indication from CDC of how effective the vaccine is in real life — and the first indication the vaccines do not protect completely against severe disease and death.
“So far, about 5,800 breakthrough cases have been reported to CDC. To date, no unexpected patterns have been identified in case demographics or vaccine characteristics,” the CDC told CNN via email.
The HILL:
The Centers for Disease Control and Prevention (CDC) said the agency has documented about 5,800 “breakthrough” COVID-19 cases among the millions of Americans who are fully vaccinated, totaling far less than 1 percent of fully vaccinated people.“Vaccine breakthrough infections make up a small percentage of people who are fully vaccinated,” the CDC told The Hill in a statement. “CDC recommends that all eligible people get a COVID-19 vaccine as soon as one is available to them.”
Yahoo:
The Centers for Disease Control and Prevention has found about 5,800 cases of COVID-19 infections among people who have been fully vaccinated in the U.S., according to a new report.CDC officials tell Yahoo Life that as of April 13, about 5,800 breakthrough COVID-19 infections — meaning someone who was fully vaccinated against the virus still contracts COVID-19 — have been reported to the CDC among the more than 66 million Americans who have been fully vaccinated. Of those, 396 (or 7 percent) required hospitalization and 74 people (0.0001 percent) died.
And as is usual with the Pharma-funded corporate media, there was no investigative reporting done to challenge or even question the data that the CDC was providing.
So let me do that. (The CDC did not send me a copy of the letter for some reason.)
For example, how do we know that there are only “5,800 breakthrough COVID-19 infections” among 66 million fully vaccinated Americans? How did the CDC arrive at that figure, and where are they getting their data?
These experimental COVID injections have only been out in the public for about 4 months now, and the vast majority of the injections have occurred within the past few weeks.
These are experimental pharmaceutical products with very little testing done, and the CDC has changed the amount of time they claim it takes for full immunity to start after “vaccination” several times already. They originally said two weeks after the first injection, and full immunity after the second one. Then it was changed to 4 weeks. Now, they are saying it can take up to 6 weeks.
So there really is no way the CDC can make any definitive statements at this point as to just what the percentage of fully vaccinated people will be who still get COVID and still die from it.
Earlier this week, CDC Director Rochelle Walensky actually stated that the COVID “vaccines” are “too slow” to stop an alleged surge of COVID cases in Michigan, because it takes “weeks” for them to start working.
Centers for Disease Control and Prevention director Rochelle Walensky said Michigan should put coronavirus restrictions back in place to stop the spread of COVID-19.
“Really what we need to do in those situations is shut things down,” Walensky said during a press briefing on Monday. “I think if we tried to vaccinate our way out of what is happening in Michigan, we will be disappointed that it took so long for the vaccine to work – to actually have the impact.” (Source.)
“We know that if vaccines go in arms today, we will not see an effect of those vaccines, depending on the vaccine, for somewhere between two to six weeks,” Walensky said. (Source.)
Anybody with any kind of critical thinking skills can clearly see that this is pure PR the CDC is spinning to their corporate media lap dogs.
They want to try and convince the U.S. public that even though people are still getting sick and dying from COVID after being fully vaccinated, that they still should get vaccinated anyway, and then agree to new lockdowns as cases start going up again because the vaccines “work too slowly.”
Of course they want you to ignore the fact that in states that have opened back up and stopped mandating face masks, that cases and deaths, even by their own corrupted statistics, are now going down.
How long is the American public going to put up with this insanity?
People are DYING from these COVID “vaccines” and the CDC is now forced to admit that these vaccines don’t even work in many people.
And whatever small businesses that are still left and have survived the first round of lockdowns last year will surely die if lockdowns are required again, unless enough people wake up finally and say “enough is enough – we will NOT comply!”
*
*
Israeli People Committee’s Report Find Catastrophic Side Effects Of Pfizer Vaccine To Every System In Human Body
The Israeli People Committee (IPC), a civilian body made of leading Israeli health experts, has published its April report into the Pfizer vaccine’s side effects indicating damage to almost every system in the human body. If the findings by IPC are genuine, then Pfizer vaccine is linked to more deaths in Israel than AstraZeneca’s in the whole of Europe. The findings are catastrophic on every possible level. This is a detailed report that highlights the most devastating findings.
The verdict of the Israeli People Committee is that “there has never been a vaccine that has harmed as many people.” The report is long and detailed (read full report below).
“We received 288 death reports in proximity to vaccination (90% up to 10 days after the vaccination), 64% of those were men.”
Yet the report states, “according to data provided by the Ministry of Health, only 45 deaths in Israel were vaccine related.”
If these are the genuine numbers, then Israel has failed to report on its experimental results genuinely.
https://greatgameindia.com/israel-report-pfizer-vaccine-side-effects/
https://4a1b9d73-4c47-4f3b-bb08-e515be8958ca.filesusr.com/ugd/3db409_3c4b29f97a7b4e2fb1d8d178ab138b91.pdf
Seznam poškodb s COVID cepivi v Izraelu: https://4a1b9d73-4c47-4f3b-bb08-e515be8958ca.filesusr.com/ugd/3db409_3797613566a14bf29a3479b6b2fe0753.pdf
*

*
*
Sejšeli: http://www.times.si/svet/v-najbolj-cepljeni-drzavi-porast-okuzb-med-cepljenimi--6b8efe4bdebea27fcda2d3b6ca8547ef4518c72e.html
*
https://swprs.org/vaccines-the-tip-of-the-iceberg/
https://swprs.org/covid-rna-vaccines-deaths/
*
https://thecovidblog.com/2021/05/13/seychelles-worlds-most-vaccinated-country-see-surges-in-covid-19-cases-as-usa-changes-rules-for-testing-vaccinated-people/?__cf_chl_jschl_tk__=db45b9e3a58d81cf1d9b7420a080d1dc8d2cd826-1621406129-0-AbAbkueCadzYhKe__9wu2wDSThpK5KdE_COLEaZJGr4rEoKnSr0ZiYtNm5wwrjKS5Lu2QqmA57PYweMwoidSTptKXXVMfsL1pgB5TyRqx0Y0Owrhxay1WLk0aSzqabYx8TwVk8id9Jrp2VuamQCcZAGVOYtHFaMrNA21KwnyoBxw2H0IflRSUPaBLhzC688AESADArqKxq21byP-i8YMt02uPIud5R6hG47IDNa0vDC-WhXKI96CEXs-xQbLwRsI4aQLWKEtVC2a9Rux2TieX1x42S7YN-VoedYQiQyO44tgtVwFswnAMh62pFBBO5PxeZg15Z3pbLq-M9LNWESydHRvw0C0Y26m3Ac3_eDlNNlJRP-2pyZGNPS44mt5WYZIeaosiyf9PfSEoqiyYdksM8v5UEb-amQydbqN3VheSVN9o9DobZdpwQk4tXEQ7EagFDp16s3oSbSmaR2KgilAyzici63gVs0eDD9ZtwzEHt_AeuxazGe81Reelt0BUCXcBPKv0DN49ohfRaw2q2jUAB3p3vIjSWGXn4-GmiAgw279sh1SuMwjzvpraJSj4LHuXg
*
Ameriški rdeči križ sporoča, da cepljeni, ki so preboleli COVID-19 ne morejo darovati plazme za pomoč drugim bolnikom, ker cepivo uniči naravna protitelesa proti SARS CoV-2 https://www.facebook.com/anos.srbija/videos/156182429806502
*
Informed consent disclosure to vaccine trial subjects of risk of COVID-19 vaccines worsening clinical disease
Abstract
Aims of the study: Patient comprehension is a critical part of meeting medical ethics standards of informed consent in study designs. The aim of the study was to determine if sufficient literature exists to require clinicians to disclose the specific risk that COVID-19 vaccines could worsen disease upon exposure to challenge or circulating virus.
Methods used to conduct the study: Published literature was reviewed to identify preclinical and clinical evidence that COVID-19 vaccines could worsen disease upon exposure to challenge or circulating virus. Clinical trial protocols for COVID-19 vaccines were reviewed to determine if risks were properly disclosed.
Results of the study: COVID-19 vaccines designed to elicit neutralising antibodies may sensitise vaccine recipients to more severe disease than if they were not vaccinated. Vaccines for SARS, MERS and RSV have never been approved, and the data generated in the development and testing of these vaccines suggest a serious mechanistic concern: that vaccines designed empirically using the traditional approach (consisting of the unmodified or minimally modified coronavirus viral spike to elicit neutralising antibodies), be they composed of protein, viral vector, DNA or RNA and irrespective of delivery method, may worsen COVID-19 disease via antibody-dependent enhancement (ADE). This risk is sufficiently obscured in clinical trial protocols and consent forms for ongoing COVID-19 vaccine trials that adequate patient comprehension of this risk is unlikely to occur, obviating truly informed consent by subjects in these trials.
Conclusions drawn from the study and clinical implications: The specific and significant COVID-19 risk of ADE should have been and should be prominently and independently disclosed to research subjects currently in vaccine trials, as well as those being recruited for the trials and future patients after vaccine approval, in order to meet the medical ethics standard of patient comprehension for informed consent.
https://pubmed.ncbi.nlm.nih.gov/33113270/
*
Nobel Prize winner: Mass COVID vaccination an ‘unacceptable mistake’ that is ‘creating the variants’
May 19, 2021 (LifeSiteNews) – French virologist and Nobel Prize winner Luc Montagnier called mass vaccination against the coronavirus during the pandemic “unthinkable” and a historical blunder that is “creating the variants” and leading to deaths from the disease.
“It’s an enormous mistake, isn’t it? A scientific error as well as a medical error. It is an unacceptable mistake,” Montagnier said in an interview translated and published by the RAIR Foundation USA yesterday. “The history books will show that, because it is the vaccination that is creating the variants.”
Many epidemiologists know it and are “silent” about the problem known as “antibody-dependent enhancement,” Montagnier said.
“It is the antibodies produced by the virus that enable an infection to become stronger,” he said in an interview with Pierre Barnérias of Hold-Up Media earlier this month.
Vaccination leading to variants
While variants of viruses can occur naturally, Montagnier said that vaccination is driving the process. “What does the virus do? Does it die or find another solution?”
“It is clear that the new variants are created by antibody-mediated selection due to the vaccination.”
Vaccinating during a pandemic is “unthinkable” and is causing deaths, the winner of the 2008 Nobel Prize in Medicine for discovery
‘Deaths follow vaccination’
“The new variants are a production and result from the vaccination. You see it in each country, it’s the same: in every country deaths follow vaccination,” he said.
A video published last week on YouTube uses data from the Institute for Health Metrics and Evaluation at the University of Washington to illustrate the spikes in deaths in numerous countries across the globe after the introduction of COVID vaccination, confirming Montagnier’s observation.
https://www.youtube.com/watch?v=KrIoPIQZmUE
The French interviewer pointed to data from the World Health Organization (WHO) showing that since the vaccines were introduced in January, new infections contamination have “exploded,” along with deaths, “notably among young people.”
“Yes,” agreed Montagnier who is a professor at Shanghai Jiao Tong University. “With thrombosis, etc.”
Thrombosis – or blood clots — have been an unexpected problem linked to the new coronavirus vaccines and the cause of AstraZeneca’s vaccine being pulled in several countries. The head of Canada’s public health agency, Theresa Tam, told a press conference Tuesday that there are now 21 confirmed cases of vaccine-induced thrombotic thrombocytopenia, or VITT, including among three women who died from the blood-clotting disorder potentially linked to AstraZeneca’s vaccine and another 13 cases are under investigation.
Breakthrough cases
Montagnier said that he is currently conducting research with those who have become infected with the coronavirus after getting the vaccine. The Centers for Disease Control and Prevention reported in April that it had received 5,800 reports of people who had “breakthrough” COVID after being vaccinated, including 396 people who required hospitalization and 74 patients who died.
“I will show you that they are creating the variants that are resistant to the vaccine,” Montagnier said.
Coronavirus made in a lab
The famous French virologist created waves in April 2020 when he told a French television station that he believed SARS-CoV2, the new pandemic coronavirus, was man-made in a laboratory. The “presence of elements of HIV and germ of malaria in the genome of coronavirus is highly suspect and the characteristics of the virus could not have arisen naturally,” he said.
Though he was ridiculed by French experts for having “a conspiracy vision that does not relate to the real science,” Montagnier published a paper in July 2020 supporting his claims that the novel coronavirus must have originated from human experimentation in a lab – a theory that has recently resurfaced and is currently considered the most likely origin of the virus.
*
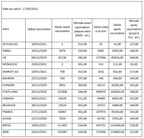
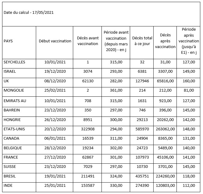
V vseh naslednjih državah: SEJHELI, IZRAEL, UK, MONGOLIJA, ZAE, BAHRAIN, MADŽARSKA, ZDA, KANADA, Francija, ŠVICA, BRAZILIJA, INDIJA, od začetka cepljenja vsak dan umre več ljudi .
Tako se 17. 5. 21 v Braziliji (17% prebivalstva, ki je prejelo vsaj en odmerek) povprečna dnevna smrtnost pomnoži s TRI; na Madžarskem s PET (48% prebivalstva je prejelo vsaj en odmerek); v Franciji je povečanje za več kot 1,5 (30% prebivalstva, ki je prejelo vsaj en odmerek) ...
Avtorja: Gabriel Faugloire in Frédéric Gobert
Kako so bile izračunane zgornje številke?
Vsi podatki prihajajo s spletnega mesta " ourworldindata " in se ustavijo na dan 17. 5. 21; 14 držav je bilo izbranih tako, da je kar največ heterogenosti, tako glede notranjih značilnosti kot tudi glede stopnje cepljenja posamezne države. Prvotna ideja je bila potrditi informacije, ki jih je Jean-Jacques Crèvecœur posredoval v manjšem obsegu. Iz njih je razvidno, da se je povprečna dnevna umrljivost zaradi COVID-19 povečala v skoraj vseh proučevanih državah od začetka kampanj cepljenja ; le Belgija je izjema.
Tudi če se zdi neposredna povezava s cepljenjem hitra bližnjica, se lahko iskreno vprašamo, kaj bi to lahko pojasnilo drugače ... Treba bi bilo vedeti, da bi to potrdili ali zanikali, število umrlih COVID ljudi, ki so bili cepljeni. V tem času vidimo, da je primer Sejšelov in Mongolije ogromen (1 in 2 smrtni primeri prej, 31 oziroma 212 pozneje!), Brazilija je impresivna, Madžarska pa preprosto osupljiva. Prav tako vidimo, da je v Indiji, katere mediji so zadnjo epidemijo spremenili v katastrofo, stopnja smrtnosti precej nižja od naše (treba je povedati, da številne države že dolgo uporabljajo ivermektin!).

Nad ustreznim grafom bolj vizualno: predstavlja povprečno število umrlih / dan / milijon prebivalcev pred (modra črta) in po cepljenju (oranžna črta), razvrščeno od leve proti desni države, v kateri je največ % cepljenega prebivalstva (Sejšeli ) manj % (Indija). Odstotek cepljenega prebivalstva (siva krivulja) .
V vlogo "velikih" medijev in večine strani Factchecker za "preverjanje dejstev" je treba znova in vedno podvomiti; njihova odgovornost za laži in neumnosti, ki krožijo in jih javnost upošteva, je ogromna: večja teža smrtnosti zaradi covida v Indiji v primerjavi s Francijo je laž; izjemna resnost covid epidemije je laž; varnost "cepiv" ali najboljše razmerje "korist / tveganje" je laž; življenjski interes nošenja maske na prostem je laž; demokratičnost in spoštovanje svoboščin sanitarne izkaznice je laž; trditev, da za zdravilo covid ni zdravila je laganje; trditev, da je "cepivo" edina rešitev je laž; sistematično neizpraševanje nesmisla vladne "zdravstvene" politike: nihamo med slepoto zaradi strahu, kolektivne psihoze, kompromisa in strahopetnosti; itd. A vseeno se od marca 2020 v človeških življenjih plačuje cena bankrota glavnih medijev.

*
Povečanje smrtnosti po uvedbi cepljenja proti COVID-19:
https://www.youtube.com/watch?v=xSrc_s2Gqfw&t=9s
https://www.logicno.com/hrana-zdravlje/masovna-covid-vakcinacija-neprihvatljiva-greska-koja-stvara-varijante.html
*
https://www.brighteon.com/e029e72f-266d-41af-8426-792509b057f8
COVID-19 cepiva so povečala smrti
*



*
https://thetruthaboutvaccines.com/covid-vaccines-worsen-prolong-pandemic/?fbclid=IwAR1VG2O0EeWhWvo_1nSKDoU4_6Smq476pP2FAPLdgdFNLDw_FF5HOqbVwK4
*
*
https://www.naturalnews.com/2021-06-20-coronavirus-cases-uk-surge-most-adults-vaccinated.html
*
*

Aprila 2021 so prejeli cepiva in sledila je eksplozija smrti
*


*
*

*
The latest weekly US VAERS update added a shocking 2,083 post-vaccination deaths.
The latest weekly US VAERS update added a shocking 2,083 post-vaccination deaths – by far the largest weekly increase to date – raising the total of reported post-vaccination deaths to 9,048. Not all of these 2,083 deaths occurred within a week, as there is a very significant reporting backlog.
In total, close to 1,000 post-vaccination miscarriages, more than 3,000 heart attacks, about 7,500 disabilities, close to 20,000 severe allergic reactions, and close to 1,000 cases of heart muscle inflammation in people under 25 have already been reported to VAERS.
A recent analysis by researchers at Queen Mary University in London found that even in senior citizens, about 85% of deaths reported to VAERS were definitively, likely or possibly caused by the vaccine. Moreover, due to significant under-reporting, the true number of vaccine-related deaths may already be significantly higher, possibly in the range of 10,000 to 50,000 deaths in the US alone.
Indeed, despite very few covid deaths, there continues to be unexplained excess all-cause mortality in all US age groups below the age of 75, with all-cause mortality having reached record levels in age groups below 45 since the beginning of the vaccination campaign. In people over 75, potential vaccine-related mortality may be masked by post-winter wave negative excess mortality.
There has been much discussion recently about an ultimately retracted paper that claimed covid vaccines kill 2 people for every 3 people they save. The two major points of criticism were that the paper underestimated vaccine protection by considering only a three-week period, and that the paper overestimated vaccine-related deaths by counting all reported post-vaccination deaths.
The first point is valid: vaccine protection should be estimated based on a near-100% population infection rate, not just a three-week window. But the second point is misguided: due to under-reporting, reported deaths are a lower bound, not an upper bound, of vaccine-related deaths.
Yet there is an even more important point to be considered: age-based risk-stratification. Below a certain age, covid-related mortality is so low that covid vaccines are bound to kill or severely injure more healthy people than they save. In the US, this age threshold may be close to 40 years, while in some Western European countries, it may be as high as 60 years (for healthy people).
It has been argued that vaccination against covid may at least prevent “long covid” or multi-system inflammatory syndrome (MIS) in children and young adults; however, new reports from Israel and the US indicate that, to the contrary, covid vaccines may themselves cause MIS as well as “long covid”-like conditions, often lasting for months or possibly even longer (see video below).
Going forward, three covid vaccine-related potential risks should be kept in mind:
- In addition to immediate adverse events (such as strokes and heart attacks), are covid vaccines causing cardiovascular damage that will become apparent only later?
- In the face of new immune-escape coronavirus variants, such as the Indian and Peruvian variants (delta and lambda), how long will vaccine protection last, especially in senior citizens?
- Once new coronavirus variants achieve full immune escape, will the very high levels of vaccine-induced, non-neutralizing antibodies cause antibody-dependent disease enhancement (ADE)?
Risks number 2 and 3 could be mitigated by updated booster shots, but these might exacerbate risk number 1. As a potential alternative to current covid vaccines, three options could be considered:
- Natural infection, combined with early treatment to avoid disease progression
- Medically supervised, low-dose oral live virus challenge (using least virulent strain)
- Fast-tracking possibly safer nasal/oral covid vaccines (currently being developed)
To study case reports of severe and fatal covid vaccine reactions, see Covid Vaccine Injuries (18+).
*
Over 80% of acute COVID-19 cases in Israel are in fully vaccinated patients data from the Israeli Health Authorities. Abundantly clear now the vaccines have failed, particularly Pfizer which was used in Israel.

ZDA: ni 4.500 mrtvih po cepljenu za COVID-19, temveč 45.000: https://www.facebook.com/soncerumeno11/videos/411874530138595
*
Zdrava družba 24.11. 2021 FB
https://www.facebook.com/gibanje.zdrava.druzba/photos/pcb.261847479326971/261847215993664
*
Članek v Guardianu trdi, da je Covid v bolnišnicah v UK "večinoma postal bolezen necepljenih" - vendar podatki kažejo, da je 71 % odraslih, hospitaliziranih s Covidom, cepljenih
*
*
https://thetruedefender.com/red-alert-vaccinated-are-twice-as-likely-to-die-uk-government-reported/
*
*
https://www.israelnationalnews.com/News/News.aspx/317091
FDA report shows Pfizer's clinical trials found 24% higher all-cause mortality rate among the vaccinated compared to placebo group. Report emphasizes that "None of the deaths were considered related to vaccination."
*
To poročilo je bilo objavljeno 26. novembra 2021 in predstavlja stanje covid-19 do 46. tedna (od 15. do 21. novembra 2021) na Švedskem:
Razmere na Švedskem Število potrjenih primerov covid-19 narašča, število potrjenih primerov, intenzivno zdravljenih primerov in smrti na 100 000 prebivalcev pa je tako kot jeseni 2021 bistveno večje med necepljenimi kot med cepljenimi osebami. V 46. tednu je bilo na Švedskem prijavljenih 7 102 potrjenih primerov covid-19, kar je 22-odstotno povečanje v primerjavi s 45. tednom. Povečanje je opazno tako med necepljenimi kot cepljenimi osebami. Med potrjenimi primeri v 46. tednu je bilo 3 999 necepljenih, kar predstavlja 56 %. Največje število potrjenih primerov na 100 000 prebivalcev v 46. tednu je bilo v starostni skupini od 10 do 19 let, sledile so starostne skupine od 40 do 49 let in od 30 do 39 let. V 46. tednu je bilo prijavljenih 12 primerov covid-19 pri osebah v domovih za starejše, kar je nekoliko manj kot v zadnjih tednih, vendar še vedno več kot poleti. Zaradi novembrskih sprememb priporočil za testiranje podatki o številu potrjenih primerov niso popolnoma primerljivi v daljšem časovnem obdobju. Od 22. novembra svetujemo, da se posamezniki s simptomi testirajo ne glede na status cepljenja. Priporočilo, da ob simptomih okužbe dihal ostanete doma, ostaja v veljavi. Prav tako je pomembno, da se proti cepivu covid19 cepijo vsi, ki jim je cepljenje priporočeno. Za več informacij o učinkovitosti cepiv in obsegu cepljenja glejte Nadaljnje spremljanje cepljenja proti kovidu-19. V 46. tednu je bilo za kovid-19 testiranih 122.386 oseb, kar je 21 % več kot v 45. tednu. Delež pozitivnih oseb je bil 6,1 %, kar je enako kot v zadnjih dveh tednih. V 46. tednu je bilo največ vzorčenih oseb na 100 000 prebivalcev v starostni skupini 10-19 let, sledile so starostne skupine 30-39 let, 40-49 let in 80+. V 46. tednu so doslej poročali o 11 novih bolnikih v intenzivni negi s potrjenim kovidom-19. V prejšnjih treh tednih je bilo povprečno število bolnikov na teden 18. Med novimi bolniki v enotah intenzivne terapije v 46. tednu je bilo 6 necepljenih, kar predstavlja 55 %. V zadnjih štirih tednih (44.-46. teden) je bilo število bolnikov na oddelkih intenzivne terapije na 100 000 prebivalcev petkrat večje med necepljenimi kot med cepljenimi bolniki. Povprečna starost novih bolnikov v enotah intenzivne terapije v zadnjem mesecu je bila 53 let med necepljenimi in 73 let med cepljenimi bolniki. V 46. tednu so o novih bolnikih na oddelkih intenzivne terapije poročali iz 6 regij (število bolnikov, o katerih so poročali v zadnjih dveh tednih, je po ocenah nekoliko višje zaradi zamud pri poročanju, zlasti v tekočem tednu poročanja). Zaradi zamude pri poročanju o potrjenih umrlih primerih so analize v tedenskem poročilu osredotočene predvsem na podatke o umrlih pred dvema tednoma. V 44. tednu je bilo doslej prijavljenih 32 potrjenih primerov smrti. V prejšnjih treh tednih je bilo povprečno število smrtnih primerov na teden 29. Od tega jih 8 ni bilo cepljenih, kar je 25 %. od prijavljenih smrti v 44. tednu je bila polovica oseb, ki so bile vključene v intervencijo na podlagi Zakona o socialnih storitvah, tj. s storitvami oskrbe na domu ali v domovih za starejše. V teh skupinah je velika večina cepljenih. V tednih 41-44 je bilo število smrti v skupini, stari 70 let in več, brez pomoči večje na 100 000 necepljenih v primerjavi s cepljenimi. Med cepljenimi in necepljenimi osebami v skupini z oskrbo na domu ali v domovih za ostarele ni bilo statistično pomembne razlike v številu smrti na 100 000 prebivalcev. Povprečna starost umrlih v 41.-44. tednu je bila 77 let med necepljenimi in 83 let med cepljenimi osebami. V 44. tednu je bila umrljivost v mejah normale za sezono glede na model presežne umrljivosti.
Vir: https://www.folkhalsomyndigheten.se/folkhalsorapportering-statistik/statistik-a-o/sjukdomsstatistik/covid-19-veckorapporter/senaste-covidrapporten/
*
Podatki kažejo, da je splošno cepljenje povezano z večjo umrljivostjo med mladimi in mlajšimi odraslimi": v zaključkih profesorja Alberta Donzellija, zdravnika in člana upravnega odbora fundacije Allineare Sanità e Salute, ni prostora za nesporazume. Donzelli je prek video povezave v senatni komisiji za ustavne zadeve predstavil #statistične podatke o skupni umrljivosti v letu, ki se izteka. V primerjavi z dokazi iz prejšnjih let številke govorijo same zase: z vidika varnosti je nekaj narobe, zlasti v prvih dvanajstih mesecih, ko so bila cepiva #Covid vbrizgana. Po besedah zdravnika je zato "nujno treba opraviti preiskavo", tudi s primerjavo z institucijami, ki se ukvarjajo z upravljanjem nevarnosti.
https://www.youtube.com/watch?v=gxS8s5oaV3s
9.12. 2021
*
People in Their Twenties Have 7 Times Higher Risk of Death After Vaccination Than From COVID'
The risk of death from the injection is about three times higher for children and adolescents than death from COVID.
Japanese medical magazine Med Check examined the coronavirus vaccine’s serious side effects and deaths. The publication’s editor-in-chief, Rokuro Hama, revealed that in the elderly and health care workers, a disproportionate number of people died of various cardiovascular causes after the Covid gene-therapy jab compared to the general population. Furthermore, people in their twenties have seven times higher risk of death from vaccination than from COVID-19.
The harm of vaccination in 20-Year-Olds
In Japan, serious adverse reactions and death after vaccination must be reported to authorities within 28 days of administration regardless of causality. Hama calculated that the risk of death in people in their twenties after vaccination and adjusted for gender was about seven times higher than after contracting a COVID-19 infection. He arrived at even higher estimates by including serious side effects and death after 28 days in the calculations.
In one death of a 25-year-old vaccinated man, it was first reported that he committed suicide. However, he died accidentally following abnormal behavior due to febrile delirium after vaccination.
The harm of vaccination in children
Rokuro Hama expresses grave concern about vaccinating children. “We don’t know the risk of severe side effects. However, we know that children have virtually no risk of severe COVID-19 infection,” explained Hama.
As of September 1, 2021, there were no deaths due to COVID-19 infection in people under 20. However, Hama warned that If children in this age group are vaccinated, it may cause death.
According to Hama, government statistics show that the risk of death from the injection is about three times higher for children and adolescents than death from COVID-19. In addition, hemorrhagic stroke and the arterial cause are disproportionately high in teens. Hemorrhagic stroke is common after the COVID-19 vaccine in adults. And the mortality rate is higher in those who have been ‘vaccinated’ than in the general population.
Hama concludes by saying that it is ridiculous to vaccinate schoolchildren. Yet, despite the findings, we continue to vaccinate young people and even children, who are at little or no risk because of the virus, with vaccines whose long-term side effects are entirely unknown. Side effects to which the state pays virtually no attention.
*
https://wentworthreport.com/the-covid-vaccines-have-failed/
A result above the 0% line means that the vaccinated have a higher rate of infection than the unvaccinated. To be clear about the quantum of the effect, for the 40 to 49 year olds in the UK, the infection rate of the vaccinated is 2.2 times that of the unvaccinated. There is no reason to expect that this is different from any other national population.
What is interesting is that the effect exists in the first place. The vaccines are providing some protection against death from the virus, while at the same time making individuals more susceptible to infection. And the effect is changing by age group on a weekly basis– far more rapidly than what you might expect from natural decay. The effect reached is apogee in week 44 of the calendar year and is now shrinking rapidly for the upper end of the age group but is very sticky in the 40 to 49 year olds. The rate in the 30 to 39 year olds hasn’t changed either.
This is a very interesting result from the giant vaccination experiment — someone will eventually figure out what is causing it.
There is another complication, in that vaccination for one strain of the virus increases susceptibility to infection by a subsequent strain. An Israeli study found those vaccinated with the Pfizer mRNA vaccine (BNT162b2) had a 13.06-fold increased risk of infection, and greater likelihood of symptomatic disease and hospitalization, by the Delta variant.
The response to the failure of the vaccines has been to double down on stupidity and have booster shots. But each shot of vaccine comes with its own spin of Russian roulette. This year in Scotland, ambulance attendances for cardiac events have been running at up to 500 per week above normal, mainly in the 15 to 64 age group. This equates to 0.2% of the vaccinated. This effect does not capture vaccine damage to other organs besides the heart, or damage insufficient to trigger a cardiac event. Vaccine damage is cumulative.
For most age groups, vaccine booster shots will kill people at a higher rate than the virus. If the death rate from a booster shot is 0.2% per shot, perhaps 0.1% due to cardiac events and another 0.1% from all other causes, for a person at the age of 20 and facing two booster shots per annum over the next 50 years, the death rate will be 10% by the age of 70 — at best guess.
Early in the pandemic the advice I was given by a pharmaceutical veteran was that it is not possible to develop a vaccine worthy of the name for a corona virus. That prediction holds true. Vast sums were spent in the attempt to make a vaccine for HIV which was eventually controlled by a cocktail of five drugs. The second part of her advice is that we cannot live with this virus and hope to maintain a functioning civilisation. Each infection does some damage, and the damage is cumulative. Eventually it will affect fertility.
We should be gathering a lot more data from the vaccinated, such as D-dimer levels which indicate blood clotting, and perform a lot more autopsies on the dead ones. Otherwise the opportunity to gather data from this once-in-a-lifetime medical experiment will be wasted.
The vaccines have failed, so what to do? Thankfully there are more advanced civilisations on the planet that are using evidence-based science instead of blind faith. And we can get guidance from what has worked for them. Firstly there was the Indian state of Uttar Pradesh:
https://wentworthreport.com/the-covid-vaccines-have-failed/
*
“Zdi se, da nihče v kongresu (ali osrednjih medijih) ne moti dejstva, da cepiva ubijejo več ljudi kot rešijo. V 3. fazi Pfizer preizkušanja cepiva se je rešilo 1 življenje pred boleznijo COVID na vsakih 22.000 cepljenih ljudi. Z cepljenjem 220 milijonov ljudi je 10.000 življenj rešenih, vendar je umrlo 150.000 ali več ljudi. Tako ubijemo 15 ljudi, da rešimo 1 osebo
*
Cepiva naredijo nveč škode kot koristi: https://rumble.com/vqx3kb-the-pfizer-inoculations-do-more-harm-than-good.html?fbclid=IwAR10VMVemThaMftVETcF7CAwCd5UrR60VJMkkMQvP29x41kwz60zjJ8N3-o
*
Poročilo družbe za življenjsko zavarovanje iz Indiane vzbuja resne pomisleke. Danes mi je izkušeni kolega borzni analitik poslal povezavo, in ko sem jo odprl, nisem mogel verjeti, kaj sem prebral. Kakšen naslov. "Generalni direktor življenjskega zavarovanja v Indiani pravi, da se je število smrti med ljudmi, starimi od 18 do 64 let, povečalo za 40 % https://www.thecentersquare.com/indiana/indiana-life-insurance-ceo-says-deaths-are-up-40-among-people-ages-18-64/article_71473b12-6b1e-11ec-8641-5b2c06725e2c.html
Ta naslov je jedrska bomba resnice, ki se maskira kot zgodba zavarovalnega agenta.
Feb 08, 2021
